顏料黃97
Pigment Yellow 97 is a bright, durable yellow pigment commonly used in coatings, inks, plastics, and paints. Known for its excellent lightfastness, weather resistance, and non-toxic properties, it offers vibrant color with high opacity. This pigment provides superior color strength and is often chosen for applications requiring consistent, high-quality yellow hues. It’s widely used in industrial sectors such as automotive, textiles, and packaging, offering a reliable and long-lasting color solution. Pigment Yellow 97 is valued for its versatility, environmental safety, and ability to maintain color integrity even under harsh conditions.
| 同義詞 | CIP顏料黃97; CIPY97; PY97; PY97 |
| CI 編號 | 11767 |
| CAS號 | 12225-18-2 |
| 歐盟編號 | 235-427-3 |
| 分子式 | C26H27CINN4O8S |
| 化學家族 | 單偶氮 |
| 顏色 | ![]() |
| 色相分佈 |
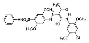
分子結構:

顏料黃97物理、化學及牢度性能
| 分子量 | 591.08 |
| 酸鹼度 | 7.5 |
| 密度 | 1.5 |
| 吸油量(ml / 100g)% | 45 |
| 耐光性 | 7 |
| 耐熱性 | 200(℃) |
| 耐水性 | 5 |
| 耐油性 | 4 |
| 耐酸性 | 5 |
| 耐鹼性 | 5 |
應用
顏料黃 97 因其鮮豔的黃色而在各個行業中得到廣泛應用。一些常見的應用包括:
油漆和塗料:顏料黃 97 用於裝飾和防護用途的油漆和塗料配方。它可以摻入水性或溶劑型塗料中以提供黃色色調。
印刷油墨:此顏料用於生產黃色印刷油墨,用於包裝、出版物和其他印刷材料等應用。
塑膠:顏料黃 97 常用於塑膠著色,包括 PVC(聚氯乙烯)、聚烯烴和其他聚合物材料。它賦予塑膠產品持久且穩定的黃色。
紡織品:在紡織業中,這種顏料可用於織物染色,為紡織品和服裝提供黃色。
噴墨墨水:顏料黃97可用於配製噴墨墨水,用於在各種基材上列印圖像和文字。
藝術家顏色:藝術家和美術用品製造商可以在油畫、壓克力、水彩畫和其他藝術媒介的生產中使用顏料黃 97。
其他應用:該顏料還可用於需要穩定且鮮豔的黃色的各種其他應用,例如化妝品、橡膠產品和特殊塗料的著色。
相關信息
Pigment Yellow 97 is a hydroxyl-containing polycarboxylic acid that is used in the production of paints and plastics. It has an oxidation potential of +0.6 volts, which indicates that it is reactive. Pigment Yellow 97 has an absorption maximum at 526 nm and a molecular weight of 317.09 g/mol. The chemical structure of Pigment Yellow 97 consists of a molecule with a reactive carboxyl group and a reactive hydroxyl group, as well as an intramolecular hydrogen bond between the two groups. This pigment also forms coordination complexes with metals such as iron oxides to form particle pigments or mixtures with glycol esters to form solid particles or dispersions, respectively.
名稱和識別符
IUPAC名稱:N-(4-氯-2,5-二甲氧基苯基)-2-[[2,5-二甲氧基-4-(苯基氨磺酰基)苯基]二氮烯基]-3-氧代丁醯胺
InChI=1S/C26H27ClN4O8S/c1-15(32)25(26(33)28-18-12-20(36-2)17(27)11-21(18)37-3)30-29-19- 13-23(39-5)24(14-22(19)38-4)40(34,35)31-16-9-7-6-8-10-16/h6-14,25,31H, 1-5H3,(H,28,33)
InChIKey: WNWZKKBGFYKSGA-UHFFFAOYSA-N
規範微笑:CC(=O)C(C(=O)NC1=CC(=C(C=C1OC)Cl)OC)N=NC2=CC(=C(C=C2OC)S(=O)(= O)NC3=CC=CC=C3)OC
Computed Properties
| Property Name | Property Value |
| 分子量 | 591.0 g/mol |
| XLogP3-AA | 4.6 |
| Hydrogen Bond Donor Count | 2 |
| Hydrogen Bond Acceptor Count | 11 |
| Rotatable Bond Count | 12 |
| Exact Mass | 590.1238127 Da |
| Monoisotopic Mass | 590.1238127 Da |
| Topological Polar Surface Area | 162 Ų |
| Heavy Atom Count | 40 |
| Formal Charge | 0 |
| Complexity | 974 |
| Isotope Atom Count | 0 |
| Defined Atom Stereocenter Count | 0 |
| Undefined Atom Stereocenter Count | 1 |
| Defined Bond Stereocenter Count | 0 |
| Undefined Bond Stereocenter Count | 0 |
| Covalently-Bonded Unit Count | 1 |
| Compound Is Canonicalized | Yes |











